实验室学生守则
1. 学生在实验课前,必须认真预习,明确实验目的和要求,了解实验的基本原理、方法、步骤,熟悉仪器设备的操作规程和注意事项,懂得实验的安全知识,经实验教师检查合格后,才能进行实验。未预习或预习未达到要求的不准参加本次实验。
2. 实验前按指定的实验桌检查个人专用仪器、用具是否齐全完好。如有缺损,应及时向实验教师或实验人员报告,不得随意挪用邻桌的仪器、用具,不准随意动用实验室其它仪器设备。
3. 服从实验教师的指导,按规定格式做好原始记录,经教师审阅同意后方可结束实验,并按照要求完成实验报告。
4. 实验进行中不得脱离岗位,必须离开时需经实验教师同意。
5. 要爱护仪器、拥挤,节约药品、材料,实验后按原样摆放整齐。
6. 损坏、丢失实验室的设备器材,应立即报告实验教师或实验、人员,并进行登记,按我校《设备器材损坏丢失处理和赔偿办法》办理。
7. 禁止在实验室吸烟、打闹、随地吐痰、乱扔纸屑以及做与实验无关的活动,保持室内安静、整洁。每次实验后,要将室内打扫干净,并按照要求关好水、电、气、门、窗,保证实验室的安全。
8. 每学期上实验课前,由实验教师结合实验室具体情况,讲解本规则。
太阳成tyc7111cc
2006年9月
实验一 平面机构运动简图的测绘和分析
一、实验目的
1、 熟悉机构运动简图的绘制方法,掌握从实际机构中测绘机构运动简图的技能;
2、 巩固机构结构分析原理及自由度计算方法;
二、实验设备及工具
1、 测绘用机构实物模型;
2、 测量用尺、分规、铅笔及草稿纸。
三、实验原理
1、机构运动简图的常用符号
如图1至图4所示(详见《机械制图》GB4460—84“机构运动简图符号”)。
(1)转动副,如图1所示。
(a)全为活动构件时
(b)构件1为机架时
图1 转动副
(2)移动副,如图2所示。
(a)全为活动构件时
(b)构件1为机架时
图2 移动副
(3)高副,如图3所示。
(a)全为活动构件时
(b)构件1为机架时
图3 高副
(4)构件图例,如图4所示
(a)具有两个运动副元素时
(b)具有三个运动副元素时
(c)具有四个运动副元素时
图4 构件图例
2、实验原理
机构各部分的运动,是由其原动件的运动规律、该机构中各运动副的类型(高副、低副,转动副、移动副等)和机构的运动尺寸来决定的,而与构件的外形、断面尺寸、组成构件的零件数目及固联方式等无关。所以,只要根据机构的运动尺寸,按一定的比例尺定出各运动副的位置,就可以用运动副的代表符号和简单的线条把机构的运动简图作出来。
正确的机构运动简图中各构件的尺寸、运动副的类型和相对位置以及机构组成形式应与原机构保持一致,从而保证机构运动简图与原机构具有完全相同的运动特性,以便根据该图对机构进行运动及动力分析。
所谓机构运动简图就是从运动的观点出发,用规定的符号和简单的线条按一定的尺寸比例来表示实际机构的组成及各构件间相对运动关系。
3、绘制机构运动简图的方法及步骤
(1)分析机构的实际构造和运动情况
任选原动件并缓慢转动,根据各构件之间有无相对运动,分清机构是由哪些构件组成的;按照机构运动的传递顺序,仔细观察各构件之间相对运动的性质,从而确定运动副的类型和数目。
(2)合理选择投影面和原动件位置,作机构示意图
选择恰当的投影面,一般选择与大多数构件的运动平面相平行的平面为视图平面;合理选择原动件的一个位置,以便简单清楚地将机构的运动情况正确地表达出来。
撇开各构件的具体结构形状,找出每个构件上的所有运动副,用简单的线条联接该构件上的所有运动副元素来表示每一个构件。即用简单的线条和规定符号来代表构件和运动副,从而在所选投影面上作出机构的示意图。
(3)计算机构的自由度并检验机构示意图是否正确
a、机构自由度计算公式:F=3n-2PL-PH
式中: n——机构活动构件数
PH——平面低副个数
PL——平面高副个数
b、核对计算结果
机构具有确定运动的条件为:机构的自由度大于零且等于原动件数。因本实验中各机构模型均具有确定的运动,故各机构计算自由度应与其原动件数相同:否则说明所作示意图有误,应对机构重新进行分析、作示意图。
注意:转动副和移动副虽同为低副,但因其运动性质不同,在作示意图时一定不能混淆互换。可单单通过自由度计算,又不能发现转动副与移动副相混淆的错误情况,故应将所作图中的各运动副类型与原机构进行逐一核对检查。
(4)量取运动尺寸
运动尺寸是指与机构运动有关的、能确定各运动副相对位置的尺寸。在原机构上量取机构的运动尺寸,并将这些尺寸标注在机构示意图上。
(5)绘制机构运动简图
选取适当的长度比例尺,依照机构示意图,按一定顺序进行绘图,并将比例尺标注在图上,即为机构运动简图。
长度比例尺的意义如下:
例如:某构件的长度LAB=1m,绘在图上的长度AB=1000mm,则长度比例尺为:

(6)标注比例尺和运动尺寸,画斜线表示机架,在原动件上画箭头表示运动方向。
四、例题:
绘制出偏心轮机构的运动简图,并计算其自由度。
图5(a) 图5(b)
1、选择手柄作为原动件并缓慢转动,根据各构件之间有无相对运动,分清机构是由哪些构件组成的。在图5(a)中,机构由1—机架,2—手柄(即曲柄,本例中取为原动件),3—连杆,4—滑块(即从动件)组成。
2、从原动件开始,按照机构运动的传递顺序,仔细观察各构件之间相对运动的性质,确定运动副的类型和数目。在图5(a)中,曲柄2为原动件,则运动传递顺序为:曲柄2,连杆3,滑块4。回转件的回转中心是相对回转表面的几何中心,而构件2可以绕构件1的偏心轴A作相对转动,故构件3与构件2在B点处也组成转动副;构件4与构件3在C点处又组成转动副;构件4沿X-X方向在构件1上作相对直线运动,组成移动副。
3、合理选择原动件的一个位置,以便简单清楚地将机构的运动情况正确地表达出来,如图5(b)所示,用规定的符号和简单的线条画出机构的示意图。
4、计算机构自由度
(1)机构自由度计算公式:F=3n-2PL-PH
本例所作示意图中,n=3,PL=4,PH=0,代入上式得:
F=3n-2PL-PH=3×3-2×4-0=1
(2)核对计算结果
观察各构件的运动可知该机构的运动是确定的,则机构的自由度应大于零且等于原动件数,由计算得:F=1=原动件数,从而验证以上所作机构示意图的正确性。
5、量取运动尺寸
在构件2、3上分别量取两相临转动副中心之间的距离LAB、LBC;量取转动副A到滑块运动轨迹X-X之间的距离,并将所量尺寸标注在机构示意图上。
6、作图(略)
五、实验内容
据上述原理对机构实物模型进行机构运动简图测绘,并计算机构的自由度。
六、思考题:
1、 机构运动简图应包括哪些内容?
2、 原动件选取不同、原动件位置不同对绘制机构运动简图有什么影响?
3、 在绘制机构运动简图时,应标注哪些尺寸?
实验二 渐开线齿轮范成原理实验
一、实验目的
1.掌握用范成法加工渐开线齿轮的基本原理,观察渐开线齿轮齿廓曲线的形成过程。
2.了解渐开线齿轮齿廓的根切现象和用径向变位避免根切的方法。
3.分析比较标准齿轮与变位齿轮齿形的异同。
二、实验内容及学时(2学时)
本实验所用的范成仪有一种规格;齿轮的压力角α=20º;齿顶高系数h*a=1;顶隙系数c*=0.25;m=10 Z=16
每个同学只用其中一种范成仪。实验时每个同学须完成以下内容:
1.范成标准齿轮
2.范成变位齿轮
使用范成仪的学生范成变位系数X=0.5的正变位齿轮,其齿廓没有根切现象。这是因为在Z=16时不根切的最小变位系数
0.41
而实验所用的变位系数x=0.5,x>xmin。因此把刀具由加工标准齿轮的位置远离轮心平移xm距离后,刀具的齿顶线就低于N点,因而根切消除。
使用C种范成仪的学生范成变位系数x=-0.5的负变位齿轮,其齿廓有根切现象。这是因为在范成Z=17的标准齿轮时刀具的齿顶通过N点,而将刀具向轮心平移xm距离,刀具的齿顶线超过N点,因而产生根切。
三、实验原理
由齿轮啮合原理可知:一对渐开线齿轮(或齿轮和齿条)啮合传动时,两轮的齿廓曲线互为包络线。范成法就是利用这一原理来加工齿轮的。用范成法加工齿轮时,其中一轮为形同齿轮或齿条的刀具,另一轮为待加工齿轮的轮坯。刀具与轮坯都安装在机床上,在机床传动链的作用下,刀具与轮坯按齿数比作定传动比的回转运动,与一对齿轮(它们的齿数分别与刀具和待加工齿轮的齿数相同)的啮合传动完全相同。在对滚中刀具齿廓曲线的包络线就是待加工齿轮的齿廓曲线。与此同时,刀具还一面作径向进给运动(直至全齿高),另一面沿轮坯的轴线作切削运动,这样刀具的刀刃就可切削出待加工齿轮的齿廓。由于在实际加工时看不到刀刃包络出齿轮的过程,故通过齿轮范成实验来表现这一过程。在实验中所用的齿轮范成仪相当于用齿条型刀具加工齿轮的机床,待加工齿轮的纸坯与刀具模型都安装在范成仪上,由范成仪来保证刀具与轮坯的对滚运动(待加工齿轮的分度圆线速度与刀具的移动速度相等)。对于在对滚中的刀具与轮坯的各个对应位置,依次用铅笔在纸上描绘出刀具的刀刃廓线,每次所描下的刀刃廓线相当于齿坯在该位置被刀刃所切去的部分。这样我们就能清楚地观察到刀刃廓线逐渐包络出待加工齿轮的渐开线齿廓,形成轮齿切削加工的全过程。
四、齿轮范成仪的结构及使用方法简介
实验所用的范成仪有三种规格,它们的结构原理相同,仅介绍一种。范成仪结构如图4—1所示,由机座1,扇形盘2,旋钮3,齿条刀4,溜板5,螺母6等组成。机座上有两孔为O1和O2;扇形盘可绕轴心(大扇绕O1,小扇O2)转动,扇形盘上装有扇形齿轮,溜板上装有齿条,它与扇形齿轮相啮合,在扇形齿轮的分度圆与溜板齿条的节线(分度线)上该有数字,移动溜板时可看到它们一一对应,即表示齿轮的分度圆与齿条的节线(分度线)作纯滚动。把一个分度圆直径与扇形齿轮的分度圆直径相等的待加工齿轮的纸坯固联在扇形盘上,把齿条型刀具固联在溜板上,随着扇形齿轮与溜板齿条的啮合传动,轮坯的分度圆与齿条型刀具的某条节线作纯滚动。旋钮3是用来固联纸坯,螺母6可把齿条刀具固联在溜板上,松开螺母后可调整刀具与轮坯的相对位置。如果齿条刀具的中线与轮坯的分度圆相切(此时刀具的标线与溜板两侧标尺的“O”线对齐),范成出标准齿轮的齿廓。如果改变齿条刀具与轮坯的相对位置,即刀具的中线与轮坯的分度圆不相切,有一段距离(距离xm值可在溜板两侧的标尺上直接读出),则可按移距变位值的大小及方向分别范成出正变位齿轮或负变位齿轮。
图2-1 齿轮范成仪
五、实验步骤
1.按照指导教师的要求剪好轮坯纸。
2.标准齿轮的绘制。
(1)松开螺母6及旋钮3,将轮坯纸放在刀具下面,且在圆盘上面,然后旋上旋钮3,此时暂不要旋紧,将轮坯纸上已印好的X=O的区域转到下方正中。
(2)调节齿条插刀,使刀具标线对准溜板两侧标尺上的O线,此时刀具中线与轮坯分度圆相切,然后旋紧旋钮3及螺母6。
(3)开始“切制”齿廓时,先将溜板5推向左端,然后用左手将溜板向右推进2-3mm,右手用铅笔在轮坯纸上描下刀具刀刃齿廓。随后依此重复,直到刀具推到右端为止,轮坯上所描下的一系列刀具齿廓所包络出的曲线就是渐开线齿形。最后用铅笔钩下一个你认为是完整的齿形(即用“√”表示)
3.正变位齿轮的绘制
(1)松开旋钮3,将轮坯纸旋转120°,使纸坯上印好的X=0.5的区域位下方正中,旋紧旋钮3。松开螺母6,将齿条刀具远离轮坯中心xm距离,其数据可在标尺上读出,然后将螺母6拧紧。
(2)重复标准齿轮绘制方法的第(3)步骤。
4.负变位齿轮的绘制
其绘制方法和步骤与正变位齿轮基本相同,其不同的是将齿条刀具向着轮坯中心移动∣xm∣距离。
5.绘制完毕后取下图纸,并将范成仪恢复到原状态。
六、实验主要设备
1.齿轮范成仪(每人一台)。
2.铅笔、橡皮、剪刀(学生自备)。
七、思考题
1、用齿条刀具加工标准齿轮时,刀具和轮坯之间的相对位置和相对运动有何要求?为什么?
2、通过实验,你所观察到的根切现象是怎样的?是由什么原因引起的?避免根切的方法有哪些?
八、实验报告
把实验过程按照实验指导书要求详细填写,并在实验报告上填写如下数据,并写出心得体会。
原始数据 |
齿条:模数 mm;压力角 ; 齿顶高系数 = ; 径向间隙系数 = 。 |
被加工齿轮: 分度圆半径 mm。 |
齿轮几何尺寸计算 |
名 称 |
符 号 |
计算公式 |
计算结果 |
标准齿轮 |
变位齿轮 |
齿数 |

|

|
|
|
最小变位系数 |

|

|
|
|
采用变位系数 |

|
|
|
|
基圆半径 |

|

|
|
|
齿顶圆半径 |

|

|
|
|
齿根圆半径 |

|

|
|
|
实验三 机构运动方案设计实验
一、实验目的
1.加深学生对平面机构的组成原理、结构组成的认识,了解平面机构组成及运动特点;
2.培养学生的机构综合设计能力、创新能力和实践动手能力。
二、实验内容及学时 (3学时)
1.从被选题中选择1-2题,拟定平面机构运动方案;
2.将拟定的平面机构运动方案拆分成基本杆组;
3.拼接各基本杆组,将基本杆组按运动传递规律顺序联接到原动件和机架上,验证所拟定的平面机构运动方案的正确性。
三、实验主要设备
1.CQJP-D机构运动创新设计方案实验台;
2.组装、拆卸工具:一字螺丝刀、十字螺丝刀、固定扳手、内六角扳手、钢板尺、卷尺。
四、实验要求
实验前必须预习实验指导书,选定题目拟定平面机构运动方案,经实验指导教师检查后方可进行后续实验。实验中各基本杆组拼接完成后,须经指导教师检查后方可启动电源验证方案的正确性。
五、实验方法及步骤
1.掌握平面机构组成原理;熟悉实验中所用到的实验设备,各零、部件功用和安装、拆卸工具;
2.选定设计题目,拟定平面机构运动方案;
3.将拟定的平面机构运动方案拆分成基本杆组,拼接各基本杆组;
4.将基本杆组按运动传递规律顺序联接到原动件和机架上,验证所拟定的平面机构运动方案的正确性;
5.供选题目:
(1)精压机机构
该机构由曲柄滑块机构和摇杆滑块机构组成,可将曲柄(原动件)的连续转动转换成执行部件的平稳下压,使物料受载均衡。此机构可用于钢板打包机、纸板打包机、棉花打捆机、剪板机等机械中。
(2)冲压机构
该机构由齿轮机构和曲柄滑块机构组成,可将齿轮(原动件)的匀速转动转换成执行部件的上下直线运动。此机构可用于冲压机、充气泵、自动送料机中。
(3)插床机构
该机构由转动导杆机构与对心曲柄滑块机构组成,可将曲柄(原动件)的匀速转动转换成滑块(执行部件)的直线移动,执行部件具有急回特性。此机构可用于刨床和插床等机械中。
(4)筛料机构
该机构由曲柄摇杆机构和摇杆滑块机构组成,可将曲柄(原动件)的匀速转动转换成滑块(执行部件)的直线移动,执行部件的速度、加速度变化较大,可更好的完成筛料工作。
(5)牛头刨床机构
该机构由摆动导杆机构和双滑块机构组成,可将曲柄(原动件)的回转运动转换成执行部件的往复直线运动,执行部件具有工作行程慢进,非工作行程快回的特点。
(6)自由构思平面机构运动方案。
六、实验报告
按实验要求将所完成的实验内容整理成技术文件,在实验报告中详细写出设计方案、基本杆组拆分结果、绘制机构运动简图。
实验四 刚性转子动平衡实验
一、实验目的
1、加深对转子动平衡概念的理解。
2、掌握刚性转子动平衡试验的原理及基本方法。
二、实验设备
1、JPH-A型动平衡试验台
2 转子试件
3.平衡块
4 百分表0~10mm
三、实验内容及学时(3学时)
在JPH-A型动平衡试验台上,先打破设备的平衡,再通过加平衡块,将两块试件盘调节平衡,从而理解动平衡原理,并掌握刚性转子动平衡试验的原理及基本方法。
四、JPH-A型动平衡试验台的工作原理与结构
1、 动平衡试机的结构
动平衡机的简图如图1、图2、所示。待平衡的试件3安放在框形摆架子的支承滚轮上,摆架的左端团结在工字形板簧2中,右端呈悬臂。电动机9通过皮带10带动试件旋转;当试件有不平衡质量存在时,则产生离心惯性力使摆架绕工字形板簧L下周期性地振动,通过百分表5可观察振幅的大小。
通过转子的旋转和摆架的振动,可测出试件的不平衡量(或平衡量)的大小和方位。这个测量系统由差速器4和补偿盘6组成。差速器安装在摆架的右端,它的左端为转动输入端(n1)通过柔性联轴器与试件3联接:右端为输出端(n3)与补偿盘相联接。
差速器是由齿数和模数相同的三个圆锥齿轮和一个外壳为蜗轮的转臂H组成的周转轮系。
(1)当差速器的转臂蜗轮不转动时 nmo,则差速器为定轴轮系,其传动比为:

l、摆架2、工字形板簧座3、转于试件4、差速器5、百分表6、补偿盘7、蜗杆
8、弹簧9、电机10、皮带
图1
这时补偿盘的转速n3与试件的转速则大小相等转向相反。
(2)当n1和nH都转动则为差动轮系,传动比周转轮系公式计算:
蜗轮的转速加是通过手柄摇动蜗杆7,经蜗杆蜗轮副在大速比的减速后得到。因此蜗轮的转速nH<<nl.当nH与n1同向时,由(2)式可看到n3<-nl,这时n3方向不变还与nl反向,但速度减小。当nH与nl反向时,由(2)式可看出n3>-n,这时n3方向仍与nl反向,但速度增加了。由此可知当手柄不动补偿盘的转速大小与试件相等转向相反,正向摇动手柄(蜗轮转速方向与试件转速方向相同)补偿盘减速,反向摇动手柄补偿盘加速。这样可改变补偿盘与试件圆盘之间的相对相位角(角位移)。这个结论的应用将在后面述说。
2、转子动平衡的力学条件
由于转子材料的不均匀、制造的误差、结构的不对称等诸因素保存转子存在不平衡质量。
因此当转子旋转后就会产生离心惯性力组成一个空间力系,使转子动不平衡。要使转子达
到动平衡,则必须满足主间力系的平衡条件
这就是转子动平衡的力学条件
3、动平衡机的工作原理
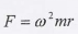
当试件上有不平衡质量存在时(图 2),试件转动后则生产离心惯性力
,它可分解成垂直分力Fy和水平分力Fx,由于平衡机的工字形板簧和摆架在水平方向(绕y轴)抗弯刚度很大,所以水平分力Fx对摆架的振动影响很小可忽略不计。而在垂直方向(绕X轴)的抗弯刚度小,因此垂直分力产生的力矩
的作用下,使摆架产生周期性的上下振动(摆架振幅大小)的惯性力矩为

要使摆架不振动必须要平衡力矩Mz。在试件上选择圆盘作为平衡平面,加平衡质量m。。则绕X轴的惯性力矩
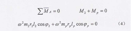
;要使这些力矩得到平衡可根据公式(3)来解决。
(4)式消去
得
要使(5)式为零必须满足
满足上式(6)的条件摆架就不振动了。式中m(质量)和r(矢径)之积称为质径积,mrL
称为质径矩,Φ称为相位角。
转子不平衡质量的分布是有很大的随机性,而无法直观判断他的大小和相位。因此很难公式来计算平衡量。但可用实验的方法来解决,其方法如下:
选补偿盘作为平衡平面,补偿盘的转速与试件的转速大小相等但转向相反,这时的平衡条件也可按上述方法来求得。在补偿盘上加
图2
一个质量mp’(图2),则产生离心惯性力对x轴的力矩
根据力系平衡公式(3)
要使上式成立必须有
公式(7)与(6)基本是一样,只有一个正负号不同。从图3可进一步比较两种平衡面进行平衡的特点。图3是满足平衡条件平衡质量与不平衡质量之间的相位关系。
图3一a为平衡平面在试件上的平衡情况,在试件放旋转时平衡质量与不平衡质量始终在一个轴平面内,但矢径方向相反。
图3
图3一b)是补偿盘为平衡平面,m2和mp’在各自的旋转中只有到在Φp’=00或1800,
Φ2=1800或00时它们处在垂直轴平面内与图3一a)一样达到完全平衡。其它位置时它们的相对位置关系如图3一c)所示为Φ2= 1800一Φp’,图3一c)这种情况,y分力矩是满足平衡条件的,而X分力矩未满足平衡条件。
用补偿盘作为平衡平面来实现摆架的平衡可这样来操作。在补偿盘的任何位置(最好选择在靠近缘处)试加一个适当的质量,在试件旋转的状态下摇动蜗杆手柄使蜗轮转动(正转或反转)这时补偿盘减速或加速转动。摇动手柄同时观察百分表的振幅依其达到最小,这时停止转动手柄。停机后在原位置再加一些平衡质量,再开机左右转动手柄如振幅己很小可认为摆架己达到平衡。最后将调整到好的平衡质量转到最高位置,这时的垂直轴平面就是mp’和m2同时存在的轴平面。
摆架平衡不等于试件平衡,还必须把补偿盘上的平衡质量转换到试件的平衡面上,选试件圆盘2为待平衡面,根据平衡条件
若取
则mp=mp’
(8)式中mp’rp’是所加的补偿盘上平衡量质径积,m’p;为平衡块质量,rp’是平衡块所处位置的半径(有刻度指示);lp:lp’是平衡面至板簧的距离这些参数都是已知的,这样就求得了在待平衡面21应加的平衡量质径积mp,rp。一般情况先选择半径 r求出 m加到平衡面 2上,其位置在mp最高位置的垂直轴平面中,本动平衡机及试件在设计时已取
所以mp=mp’,这样可取下补偿盘上平衡块mp’(平衡块)直接加到待平衡面相应的位置,这样就完成了第一步平衡工作。根据力系平衡条件(3),到此才完成一项
。还必须做
的平衡工作,这样才能使试件达到完全平衡。
第二步工作:将试件从平衡机上取下重新安装成以圆盘2为驱动轮,再按上述方法求出平衡面1上的平衡量(质径积mprp或mp)。这样整个平衡工作全部完成。更具体的实验方法请看第四部分。
五、实验方法和步骤
1、将平衡试件装到摆架的滚轮上,把试件右端的联轴器盘与差速器轴端的联轴器盘,
用弹性柱销柔性联成一体。装上传动皮带。
2、松开摆架最右端的两对锁紧螺母,用手转动试件和摇动蜗杆上的手柄,检查动平衡机各部分转动是否正常。调节摆架上面的安放在支承杆上的百分表,使之与摆架有一定的接触,
并随时注意振幅大小。
3、开启电源,转动调速旋扭。实验时的转速定在320--ng20 K之间(以后试验时不要再转动旋扭,只是关总电源)。转动蜗杆,观察百分表的振幅,找到最佳的平衡位置。厂家出厂规定,最佳平衡状态0.01--003mm(百分表 l-3格)百分表的位置以后不要再变动,停机。
4、打破平衡,将试件步端圆盘上装上适当的待平衡质量(四块平衡块),接上电源后动电机,待摆架振动稳定后,记录下振幅大小y0余若20丝左右(格)(百分表的位置以后不要再变动)停机。
5、找平衡在补偿盘的槽内距轴心最远处加上一个适当的平衡质量(二块平衡块)。开机后摇动手柄观察百分表振幅变化,手柄摇到振幅最小时手柄停止摇动。记录下振幅大小 y1和蜗轮位置角βl(差速器外壳上有刻度指示),停机。(摇动手柄要讲究方法;蜗杆安装在机架上,蜗轮安装在摆架上两者之间有很大的间隙。蜗杆转动到适当位置可与蜗杆不接触,这样才能使摆架自由地振动,这时观察的振幅才是正确的。摇动手柄蜗杆接触蜗轮使蜗轮转动,这时摆动振动受阻,反摇手柄使蜗杆脱离与蜗轮接触,使摆架自由地振动,再观察振幅。这样间歇性地使蜗轮向前转动位和观察振幅变化,最终找到振幅最小值的位置)。在不改变蜗轮位置情况下,停机后,按试件转动方向用手转动试件使补偿盘上的平衡块转到最高位置。取下平衡块安装到试件的平衡面(圆盘2}中相应的最高位置槽内。
6、在补偿盘内再加一点平衡量门一2平衡块)。按上述方法再进行一次测试。测得的振幅y2蜗轮位置β2,若y2<yl<y0;βl与β2相同或略有改变,则表示实验进行正确。若y2已很小可视为已达到平衡。停机、按步骤4方法将补偿盘上的平衡块移到试件圆盘2上。解开联轴器开机让试件自由转动若振幅依然很小则第一步平衡工作结束。若还存在一些振幅,可适当地调节一下平衡块的相位,即在圆周方向左右移动一个平衡块进行微调相位和大小。
7、将试件两端180”对调,即这时圆盘2为驱动盘,圆盘1为平衡面。再按上述方法
找出圆盘1上应加的平衡量。这样就完成了试件的全部平衡工作。
六、思考题:
1.何为动平衡?
2.动平衡与静平衡的主要区别是什么?哪些类型的试件要做动平衡试验?试件在做完动平衡后为什么不要再做静平衡试验?
七、实验报告
把实验过程按照实验指导书要求详细填写,并在实验报告上填写如下数据,并写出心得体会。
序号 |
实验内容 |
转速 |
框架振幅(mm) |
1 |
试件测试 |
|
|
2 |
在试件右端圆盘(2)上装4块平衡块 |
|
|
3 |
在补偿盘上配2块平衡块 |
|
|
4 |
在补偿盘上再配2块平衡块 |
|
|
5 |
将试件调头,试件测试 |
|
|
6 |
在试件右端圆盘(1)上装4块平衡块 |
|
|
7 |
在补偿盘上配1块平衡块 |
|
|
8 |
在补偿盘上配3块平衡块 |
|
|